Официальное опубликование правовых актов
ОФИЦИАЛЬНОЕ ОПУБЛИКОВАНИЕ
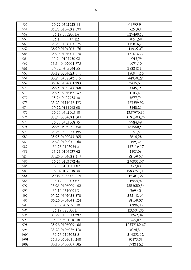
Приказ Департамента имущественных отношений Вологодской области от 20.11.2020 № 101-н
"Об утверждении результатов определения кадастровой стоимости земельных участков категории земель "земли промышленности, энергетики, транспорта, связи, радиовещания, телевидения, информатики, земли для обеспечения космической деятельности, земли обороны, безопасности и земли иного специального назначения"
Номер опубликования: 3501202011250006
Дата опубликования: 25.11.2020
Страница №25 из 278:
Увеличить