Официальное опубликование правовых актов
ОФИЦИАЛЬНОЕ ОПУБЛИКОВАНИЕ
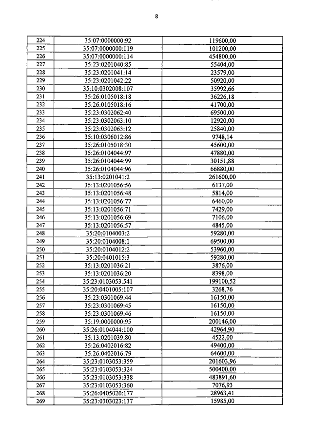
Приказ Департамента имущественных отношений Вологодской области от 22.10.2020 № 89-н
"Об утверждении результатов определения кадастровой стоимости земельных участков категории земель "земли запаса"
Номер опубликования: 3501202010230008
Дата опубликования: 23.10.2020
Страница №8 из 14:
Увеличить