Официальное опубликование правовых актов
ОФИЦИАЛЬНОЕ ОПУБЛИКОВАНИЕ
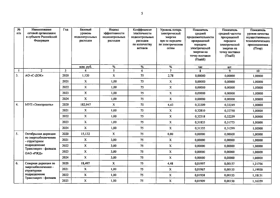
Приказ Департамента топливно-энергетического комплекса и тарифного регулирования Вологодской области от 24.12.2019 № 851-р
"Об установлении долгосрочных параметров регулирования для территориальных сетевых организаций, в отношении которых тарифы на услуги по передаче электрической энергии устанавливаются на основе долгосрочных параметров регулирования деятельности территориальных сетевых организаций на территории Вологодской области"
Номер опубликования: 3501201912250015
Дата опубликования: 25.12.2019
Страница №5 из 9:
Увеличить