Официальное опубликование правовых актов
ОФИЦИАЛЬНОЕ ОПУБЛИКОВАНИЕ
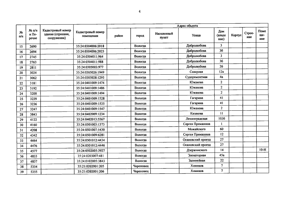
Приказ Департамента имущественных отношений Вологодской области от 17.12.2019 № 94-н
"О внесении изменений в приказ Департамента имущественных отношений области от 22.11.2017 № 63-н"
Номер опубликования: 3501201912180019
Дата опубликования: 18.12.2019
Страница №4 из 5:
Увеличить