Официальное опубликование правовых актов
ОФИЦИАЛЬНОЕ ОПУБЛИКОВАНИЕ
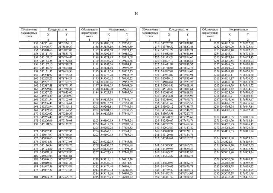
Приказ Департамента лесного комплекса Вологодской области от 29.11.2019 № 1602
"Об установлении границ лесопаркового зеленого пояса города Вологды"
Номер опубликования: 3501201912020011
Дата опубликования: 02.12.2019
Страница №10 из 339:
Увеличить