Официальное опубликование правовых актов
ОФИЦИАЛЬНОЕ ОПУБЛИКОВАНИЕ
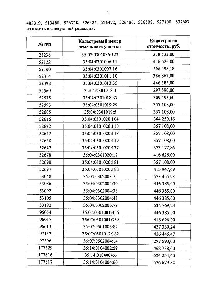
Приказ Департамента имущественных отношений Вологодской области от 26.09.2019 № 68-н
"О внесении изменения в приказ Департамента имущественных отношений области от 27 декабря 2012 года № 206"
Номер опубликования: 3501201909260009
Дата опубликования: 26.09.2019
Страница №4 из 7:
Увеличить