Официальное опубликование правовых актов
ОФИЦИАЛЬНОЕ ОПУБЛИКОВАНИЕ
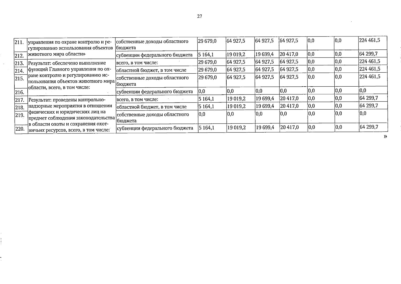
Постановление Правительства Вологодской области от 28.01.2026 № 59
"О внесении изменений в постановление Правительства области от 7 октября 2019 года № 938"
Номер опубликования: 3500202601280004
Дата опубликования: 28.01.2026
Страница №27 из 96:
Увеличить