Официальное опубликование правовых актов
ОФИЦИАЛЬНОЕ ОПУБЛИКОВАНИЕ
Постановление Правительства Вологодской области от 27.01.2026 № 53
"О внесении изменений в постановление Правительства области от 7 октября 2019 года № 939"
Номер опубликования: 3500202601270009
Дата опубликования: 27.01.2026
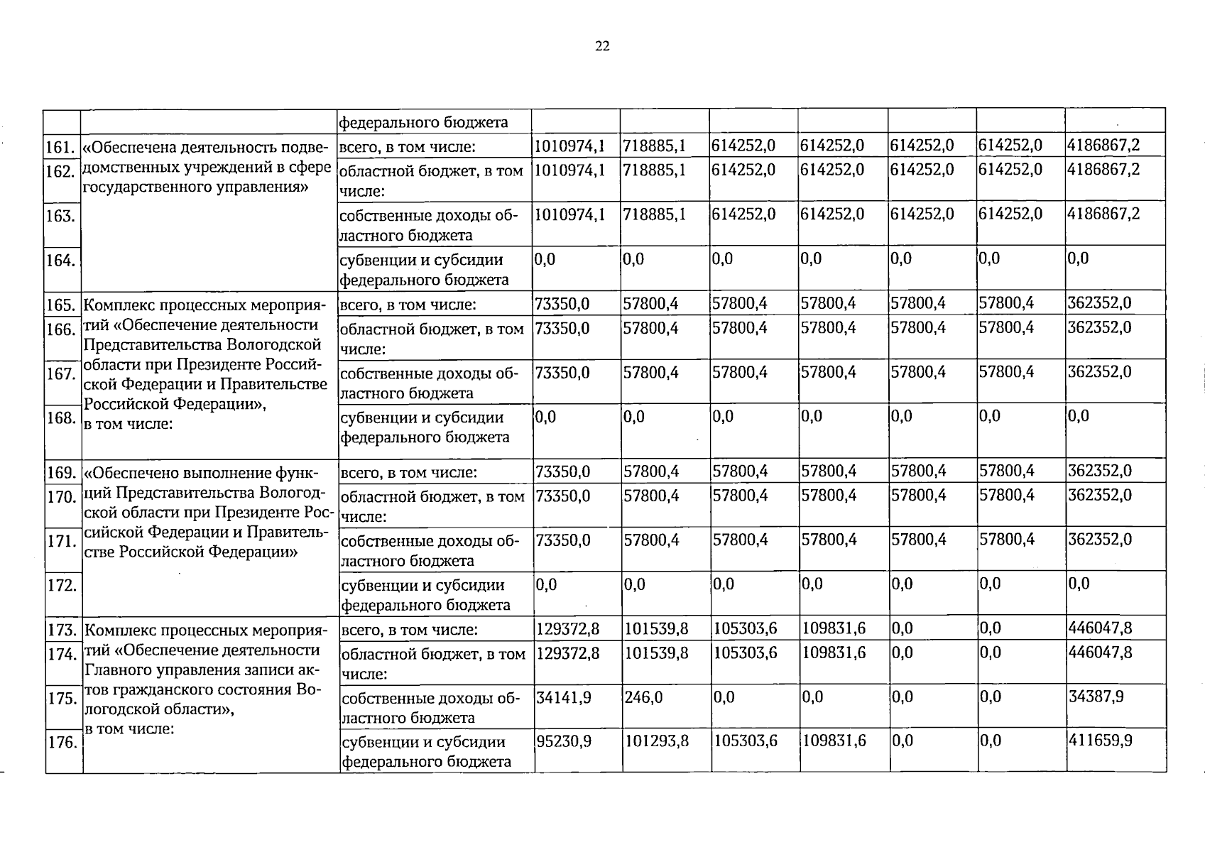
Страница №22 из 110:
Увеличить