Официальное опубликование правовых актов
ОФИЦИАЛЬНОЕ ОПУБЛИКОВАНИЕ
Постановление Правительства Вологодской области от 27.01.2026 № 51
"О внесении изменений в постановление Правительства области от 26 октября 2020 года № 1267"
Номер опубликования: 3500202601270002
Дата опубликования: 27.01.2026
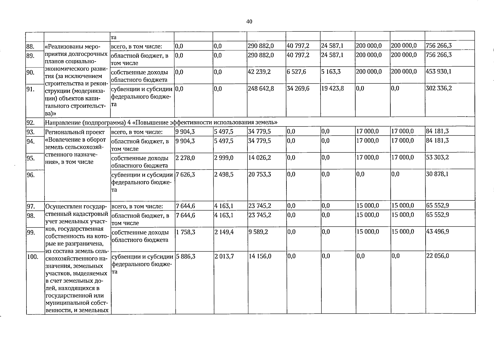
Страница №40 из 142:
Увеличить