Официальное опубликование правовых актов
ОФИЦИАЛЬНОЕ ОПУБЛИКОВАНИЕ
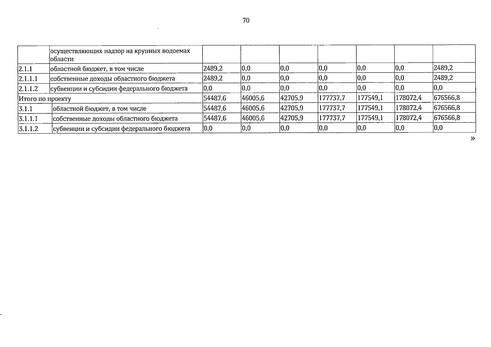
Постановление Правительства Вологодской области от 29.12.2025 № 1782
"О внесении изменений в постановление Правительства области от 13 мая 2019 года № 446"
Номер опубликования: 3500202512300018
Дата опубликования: 30.12.2025
Страница №70 из 83:
Увеличить