Официальное опубликование правовых актов
ОФИЦИАЛЬНОЕ ОПУБЛИКОВАНИЕ
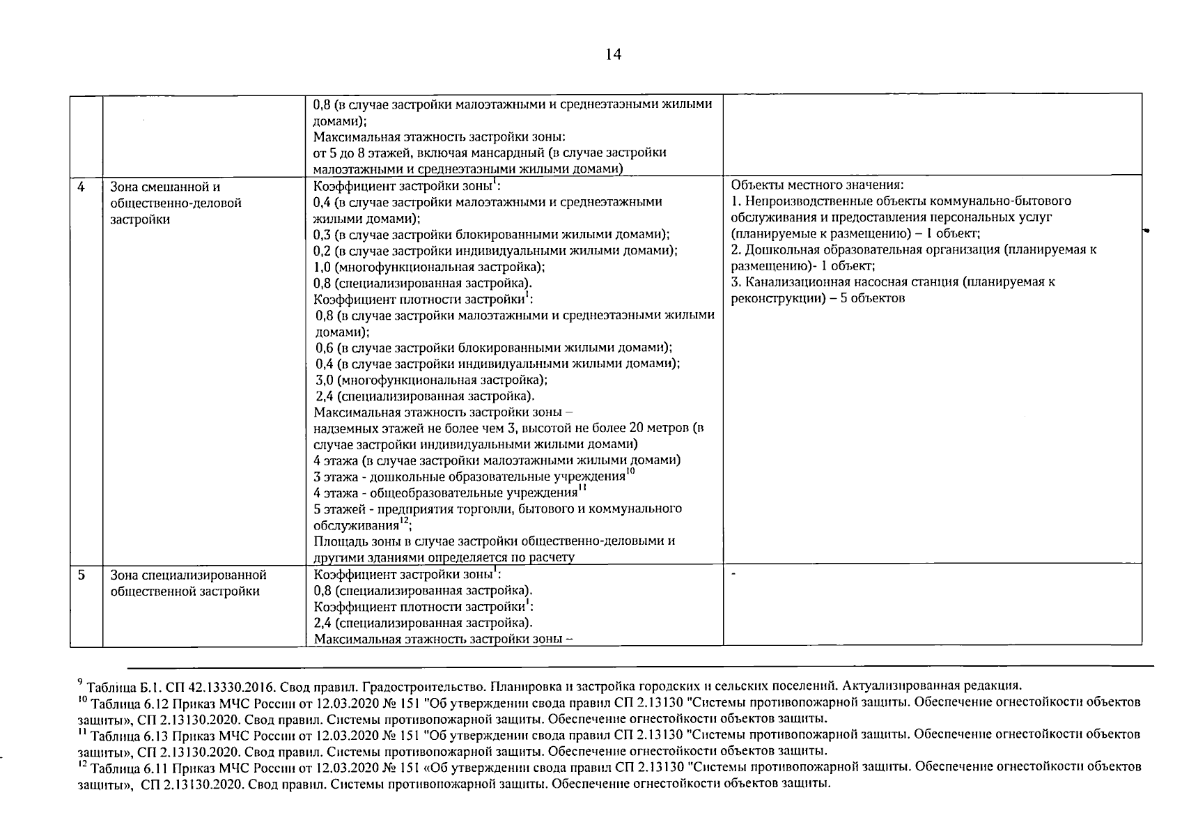
Постановление Правительства Вологодской области от 10.12.2025 № 1677
"Об утверждении генерального плана Череповецкого муниципального округа Вологодской области применительно к территории в границах Судского сельского поселения Череповецкого муниципального района Вологодской области, существовавшего до преобразования его в округ"
Номер опубликования: 3500202512110005
Дата опубликования: 11.12.2025
Страница №14 из 36:
Увеличить