Официальное опубликование правовых актов
ОФИЦИАЛЬНОЕ ОПУБЛИКОВАНИЕ
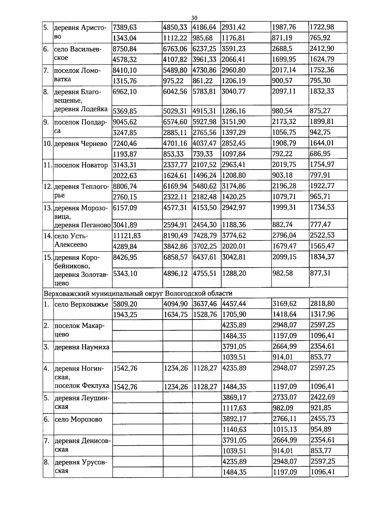
Постановление Правительства Вологодской области от 29.07.2025 № 1080
"О региональных стандартах, применяемых для расчета субсидий на оплату жилого помещения и коммунальных услуг"
Номер опубликования: 3500202507290021
Дата опубликования: 29.07.2025
Страница №30 из 97:
Увеличить