Официальное опубликование правовых актов
ОФИЦИАЛЬНОЕ ОПУБЛИКОВАНИЕ
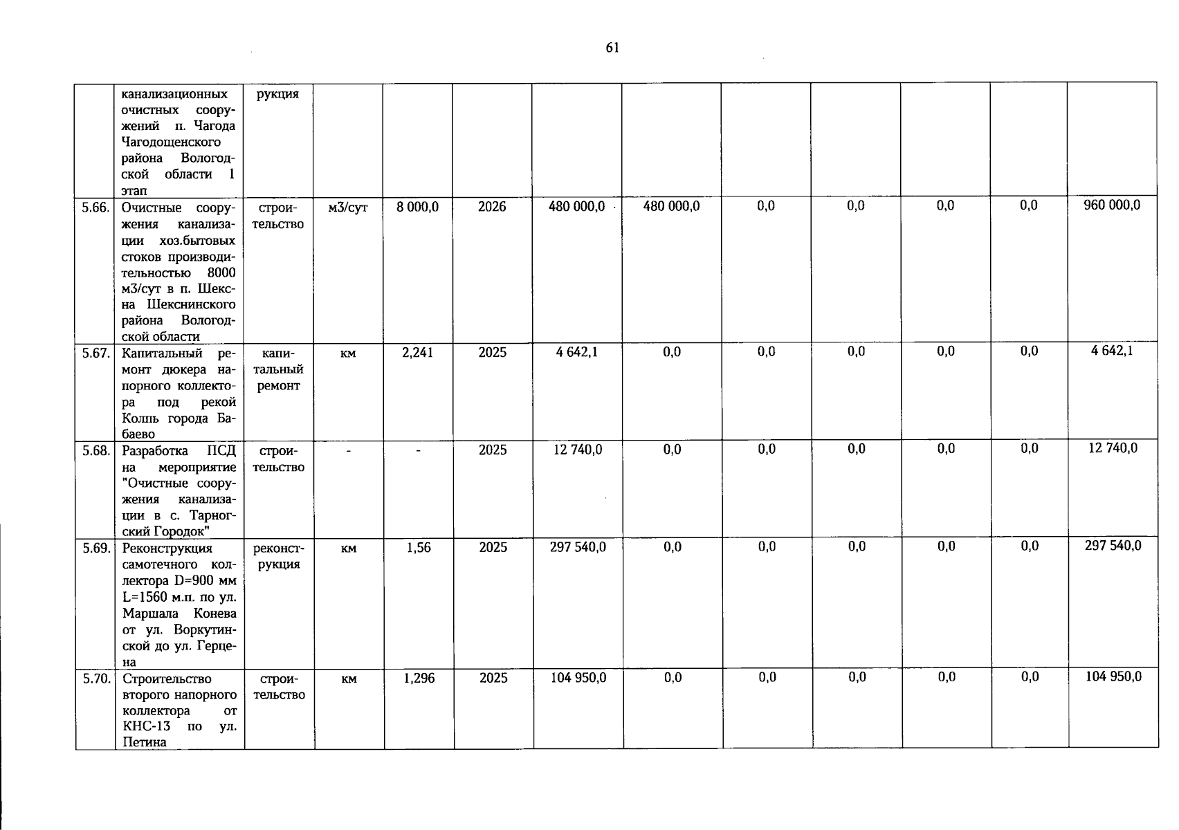
Постановление Правительства Вологодской области от 27.05.2025 № 800
"О внесении изменений в постановление Правительства области от 27 мая 2019 года № 484"
Номер опубликования: 3500202505290027
Дата опубликования: 29.05.2025
Страница №61 из 103:
Увеличить