Официальное опубликование правовых актов
ОФИЦИАЛЬНОЕ ОПУБЛИКОВАНИЕ
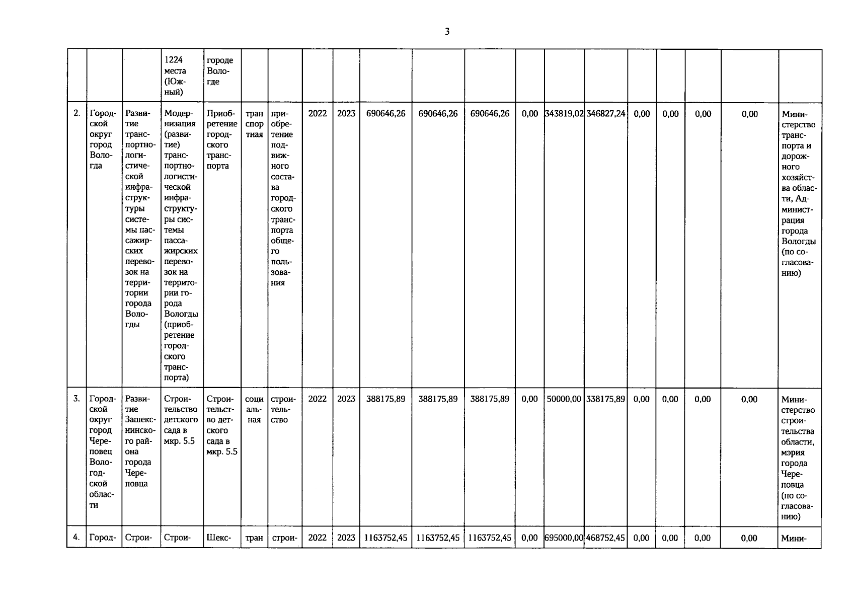
Постановление Правительства Вологодской области от 07.05.2025 № 707
"О внесении изменений в постановление Правительства области от 6 декабря 2021 года № 1359"
Номер опубликования: 3500202505120008
Дата опубликования: 12.05.2025
Страница №3 из 7:
Увеличить