Официальное опубликование правовых актов
ОФИЦИАЛЬНОЕ ОПУБЛИКОВАНИЕ
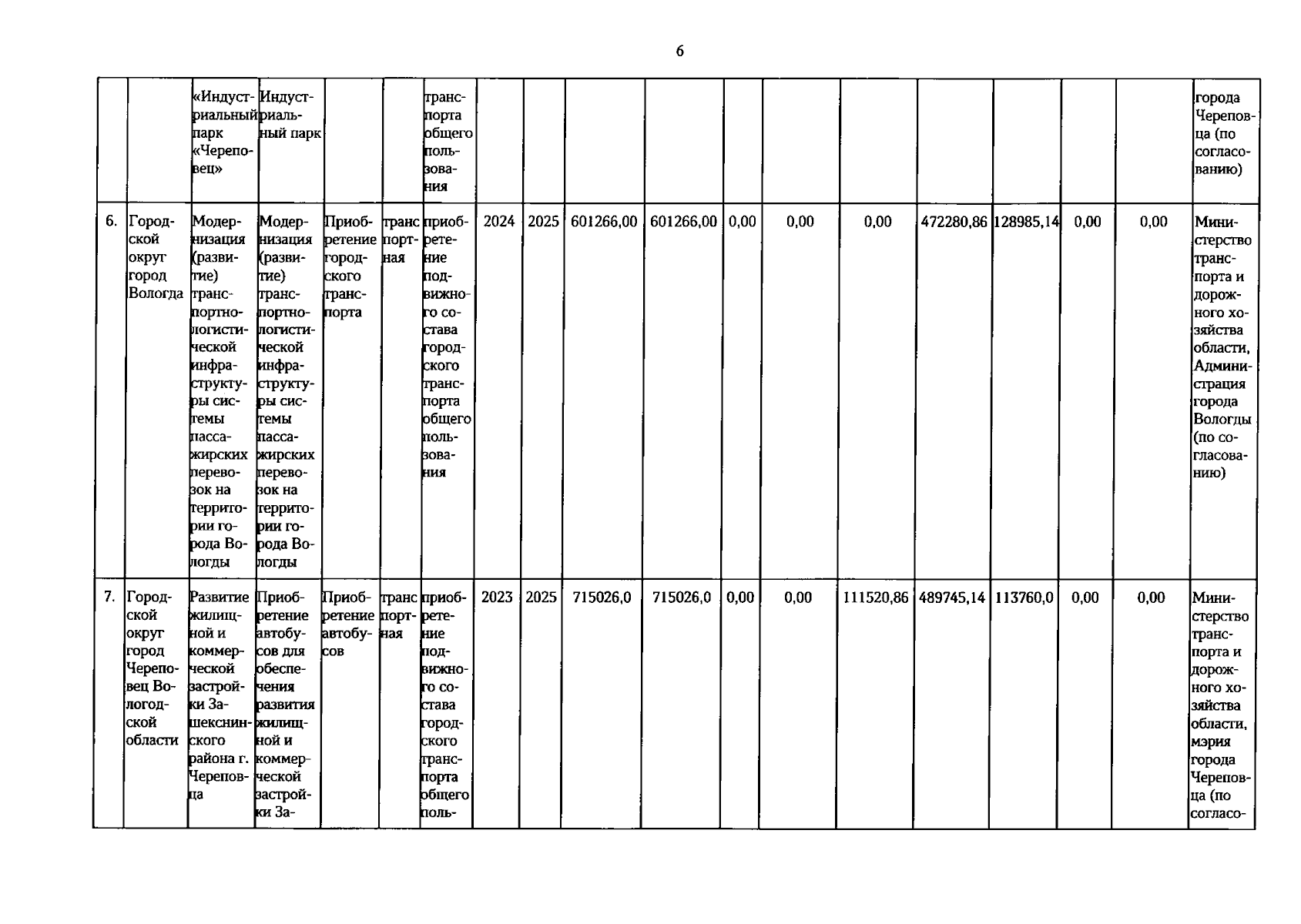
Постановление Правительства Вологодской области от 22.04.2025 № 609
"О внесении изменений в постановление Правительства области от 6 декабря 2021 года № 1359"
Номер опубликования: 3500202504230004
Дата опубликования: 23.04.2025
Страница №6 из 8:
Увеличить