Официальное опубликование правовых актов
ОФИЦИАЛЬНОЕ ОПУБЛИКОВАНИЕ
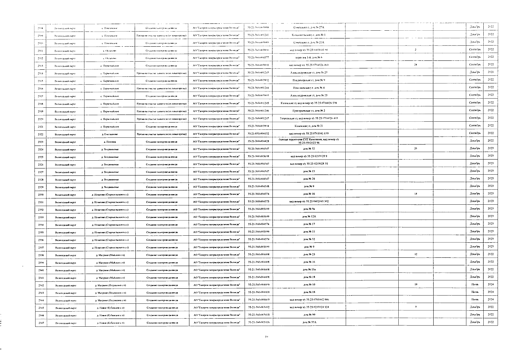
Постановление Губернатора Вологодской области от 07.03.2025 № 93
"О внесении изменений в постановление Губернатора области от 27 декабря 2021 года № 249"
Номер опубликования: 3500202503100019
Дата опубликования: 10.03.2025
Страница №83 из 432:
Увеличить