Официальное опубликование правовых актов
ОФИЦИАЛЬНОЕ ОПУБЛИКОВАНИЕ
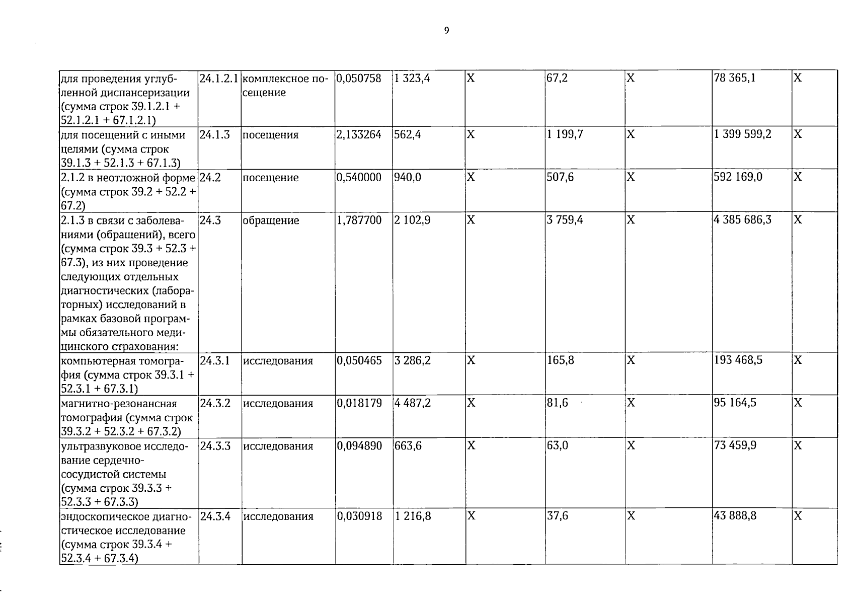
Постановление Правительства Вологодской области от 31.01.2025 № 106
"О внесении изменений в постановление Правительства области от 28 декабря 2023 года № 1444"
Номер опубликования: 3500202502030008
Дата опубликования: 03.02.2025
Страница №9 из 33:
Увеличить