Официальное опубликование правовых актов
ОФИЦИАЛЬНОЕ ОПУБЛИКОВАНИЕ
Постановление Правительства Вологодской области от 10.01.2025 № 5
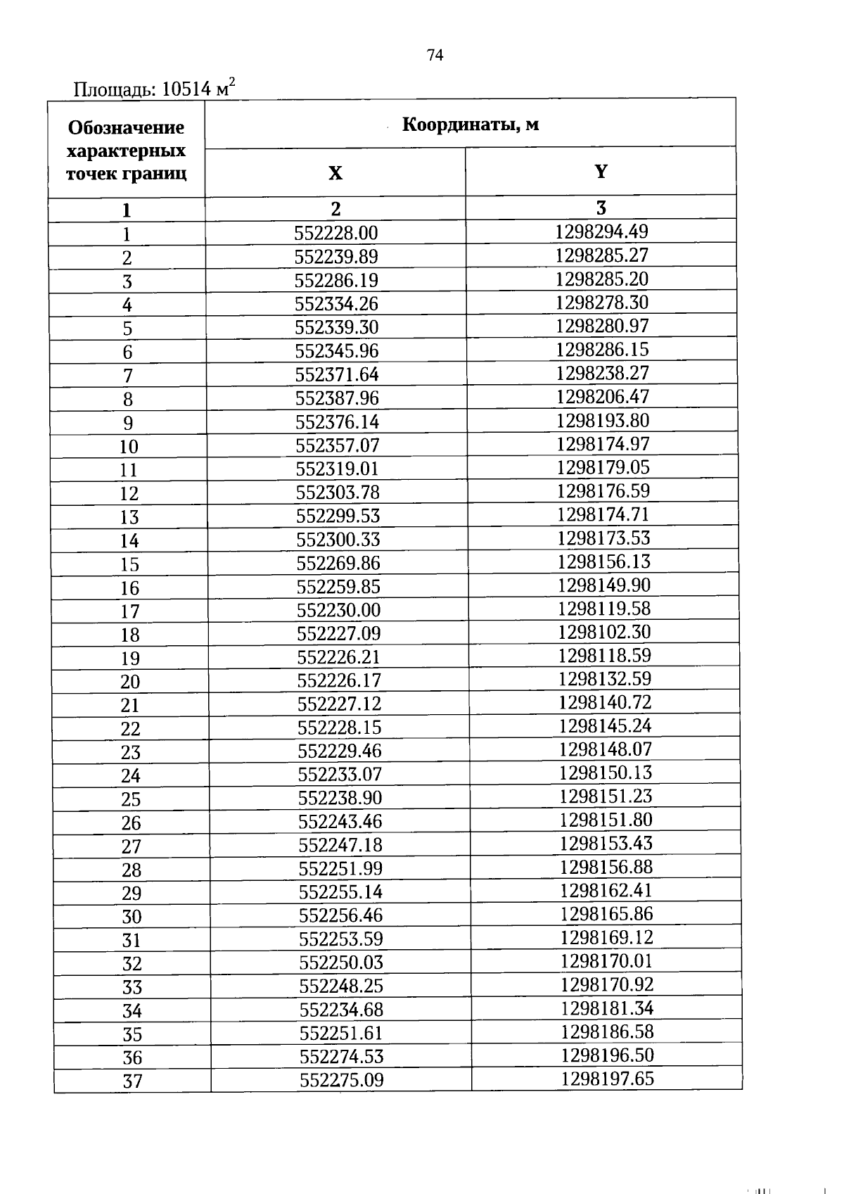
"Об утверждении границы объединенной зоны охраны объектов культурного наследия, расположенных на территории города Вытегры Вологодской области, режимов использования земель и земельных участков и требований к градостроительным регламентам в границах территории данной зоны"
Номер опубликования: 3500202501140005
Дата опубликования: 14.01.2025
Страница №74 из 158:
Увеличить