Официальное опубликование правовых актов
ОФИЦИАЛЬНОЕ ОПУБЛИКОВАНИЕ
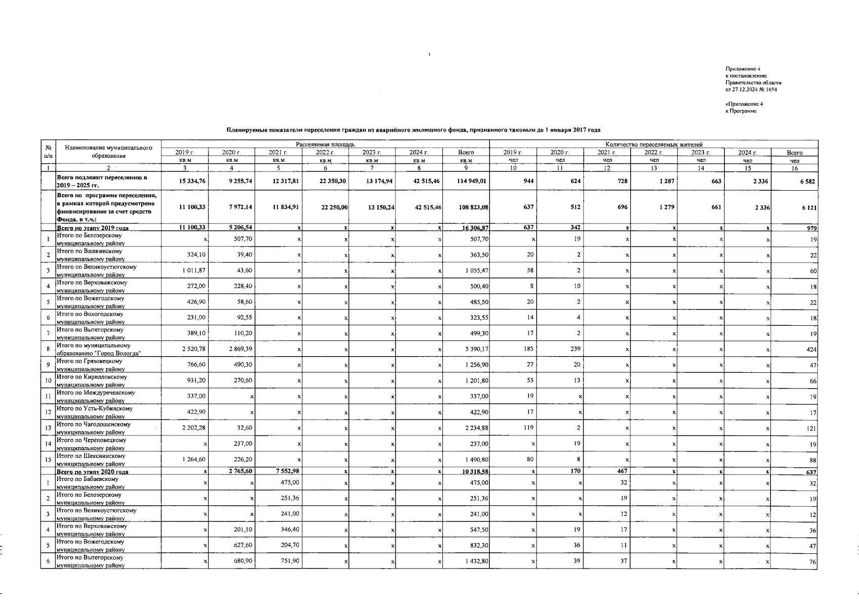
Постановление Правительства Вологодской области от 27.12.2024 № 1654
"О внесении изменений в постановление Правительства области от 1 апреля 2019 года № 322"
Номер опубликования: 3500202412290006
Дата опубликования: 29.12.2024
Страница №42 из 44:
Увеличить