Официальное опубликование правовых актов
ОФИЦИАЛЬНОЕ ОПУБЛИКОВАНИЕ
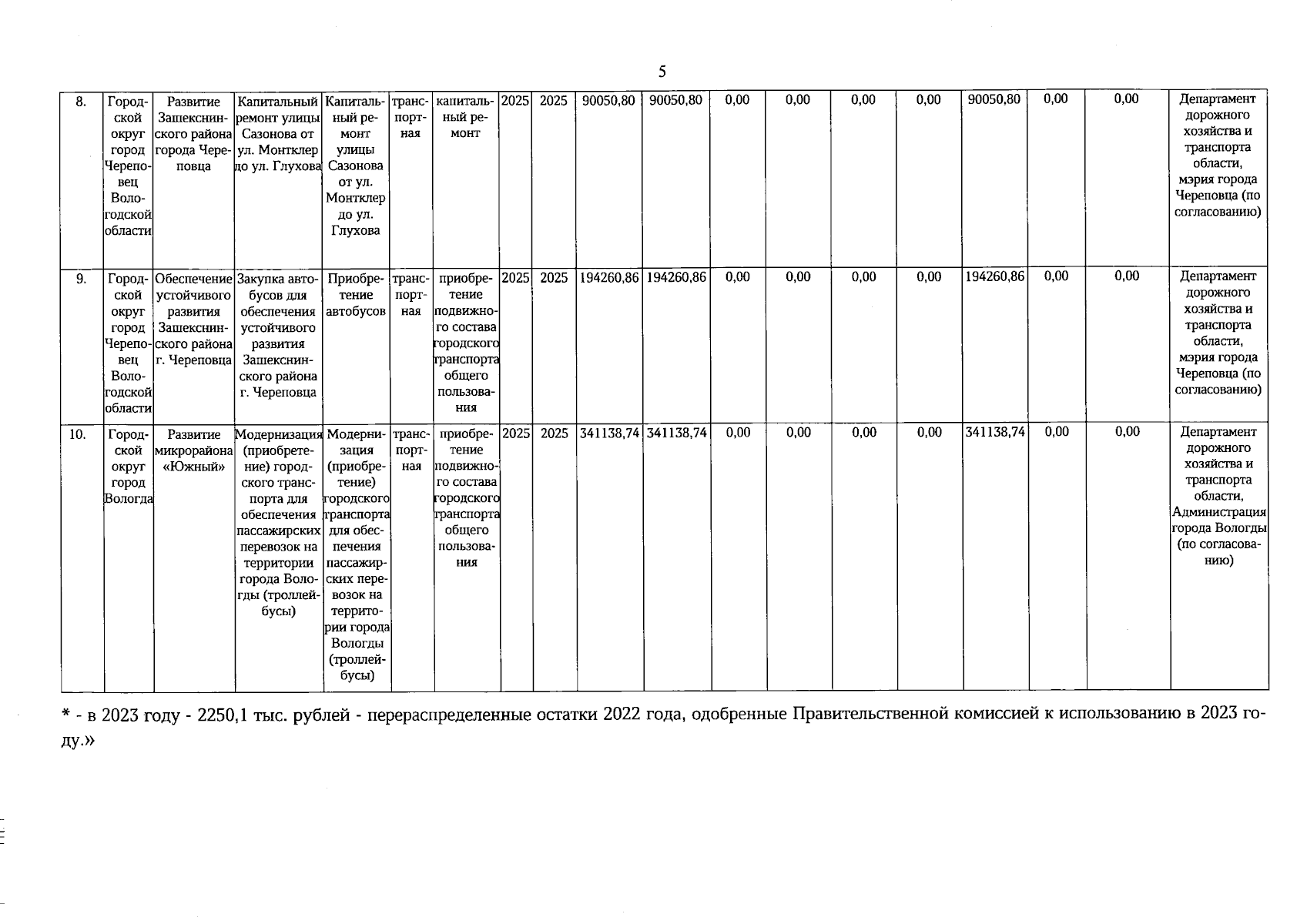
Постановление Правительства Вологодской области от 02.10.2024 № 1172
"О внесении изменения в постановление Правительства области от 6 декабря 2021 года № 1359"
Номер опубликования: 3500202410040013
Дата опубликования: 04.10.2024
Страница №5 из 5:
Увеличить