Официальное опубликование правовых актов
ОФИЦИАЛЬНОЕ ОПУБЛИКОВАНИЕ
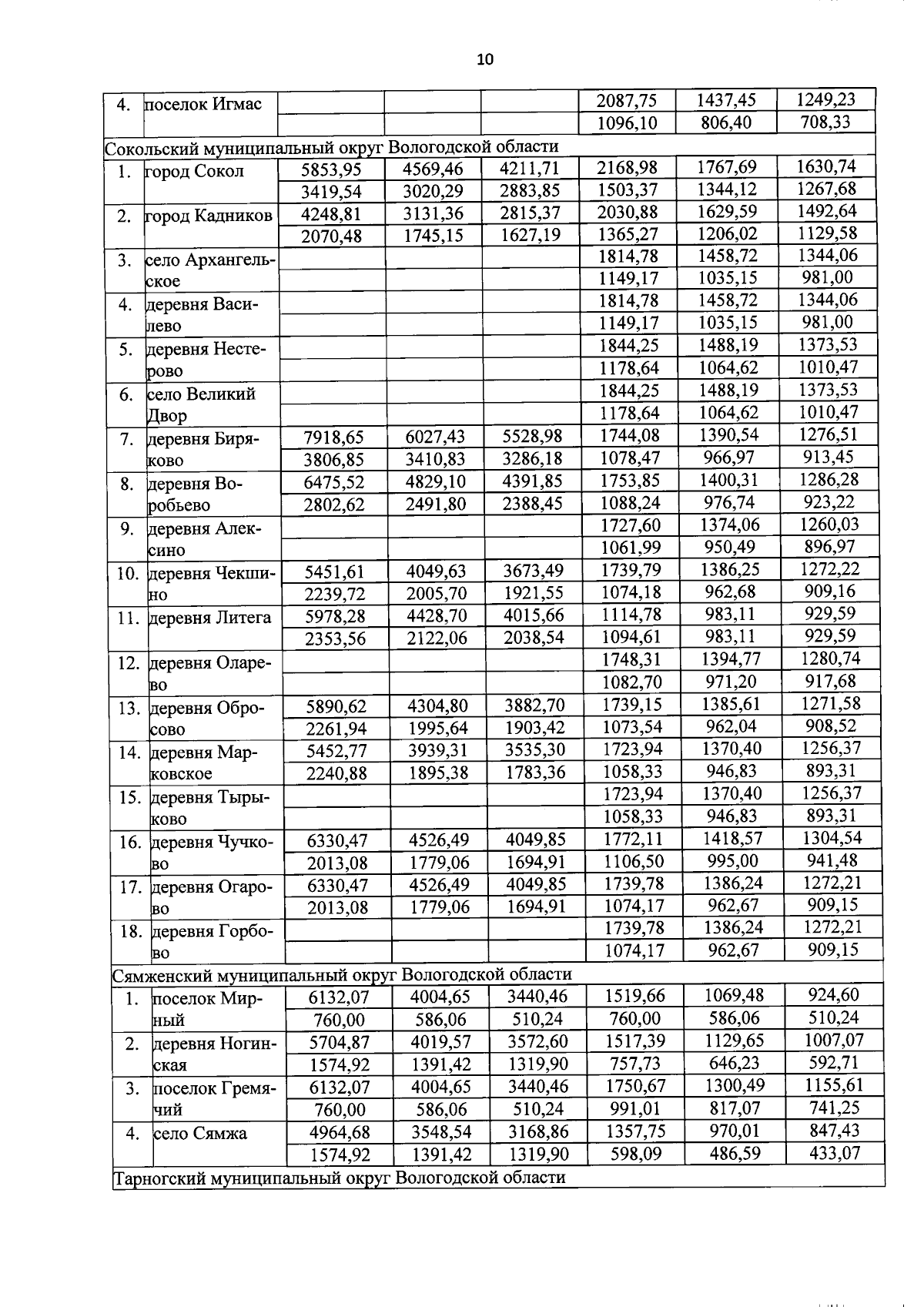
Постановление Правительства Вологодской области от 19.07.2024 № 878
"О региональных стандартах, применяемых для расчета субсидий на оплату жилого помещения и коммунальных услуг"
Номер опубликования: 3500202407250003
Дата опубликования: 25.07.2024
Страница №10 из 92:
Увеличить