Официальное опубликование правовых актов
ОФИЦИАЛЬНОЕ ОПУБЛИКОВАНИЕ
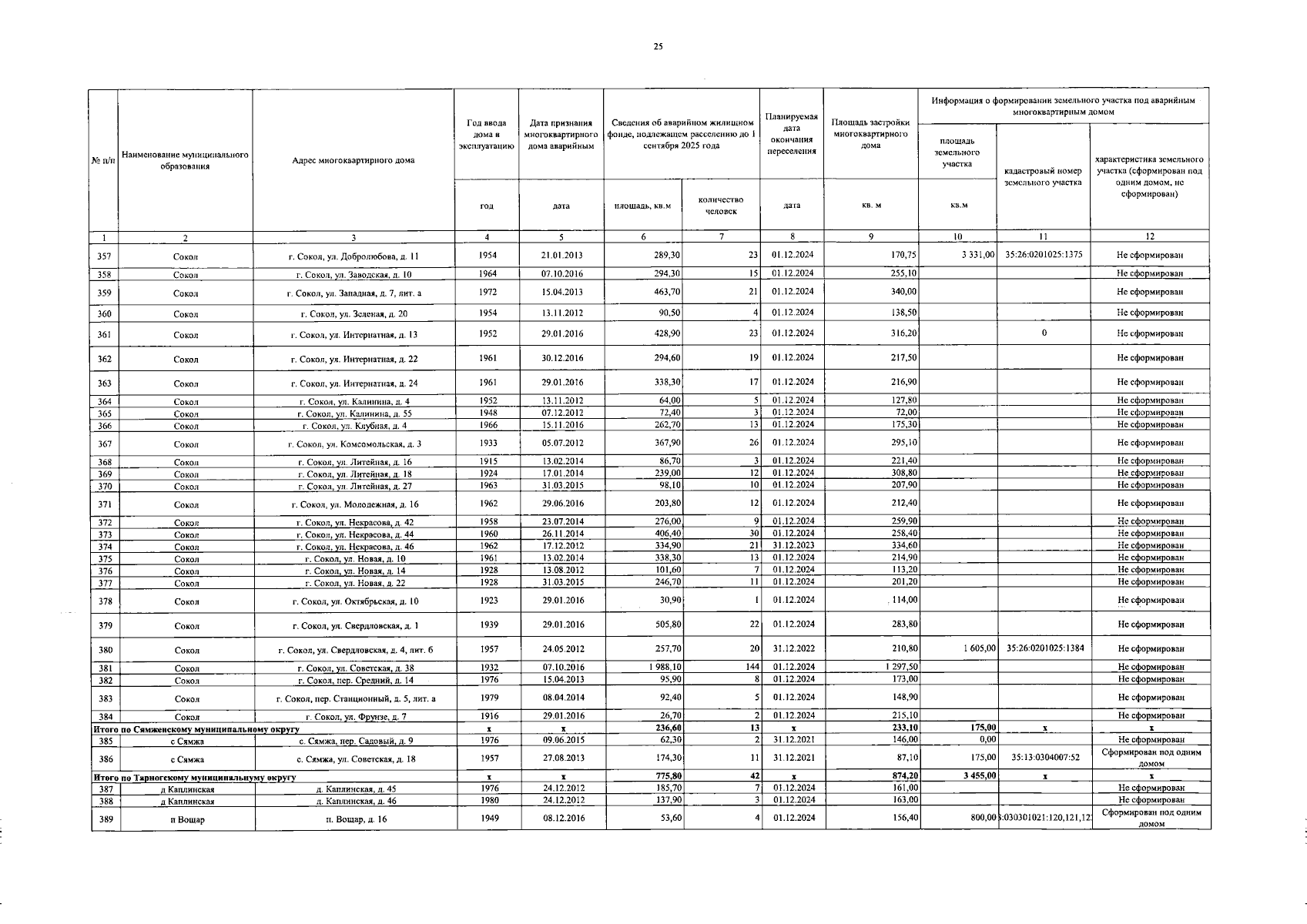
Постановление Правительства Вологодской области от 18.07.2024 № 872
"О внесении изменений в постановление Правительства области от 1 апреля 2019 года № 322"
Номер опубликования: 3500202407190007
Дата опубликования: 19.07.2024
Страница №25 из 43:
Увеличить