Официальное опубликование правовых актов
ОФИЦИАЛЬНОЕ ОПУБЛИКОВАНИЕ
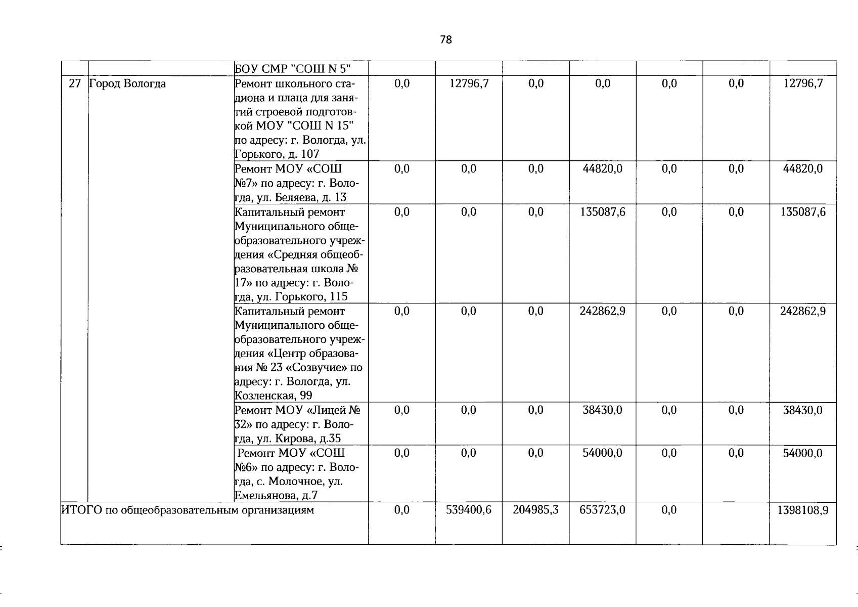
Постановление Правительства Вологодской области от 01.04.2024 № 406
"О внесении изменений в постановление Правительства области от 28 января 2019 года № 74"
Номер опубликования: 3500202404050033
Дата опубликования: 05.04.2024
Страница №78 из 144:
Увеличить