Официальное опубликование правовых актов
ОФИЦИАЛЬНОЕ ОПУБЛИКОВАНИЕ
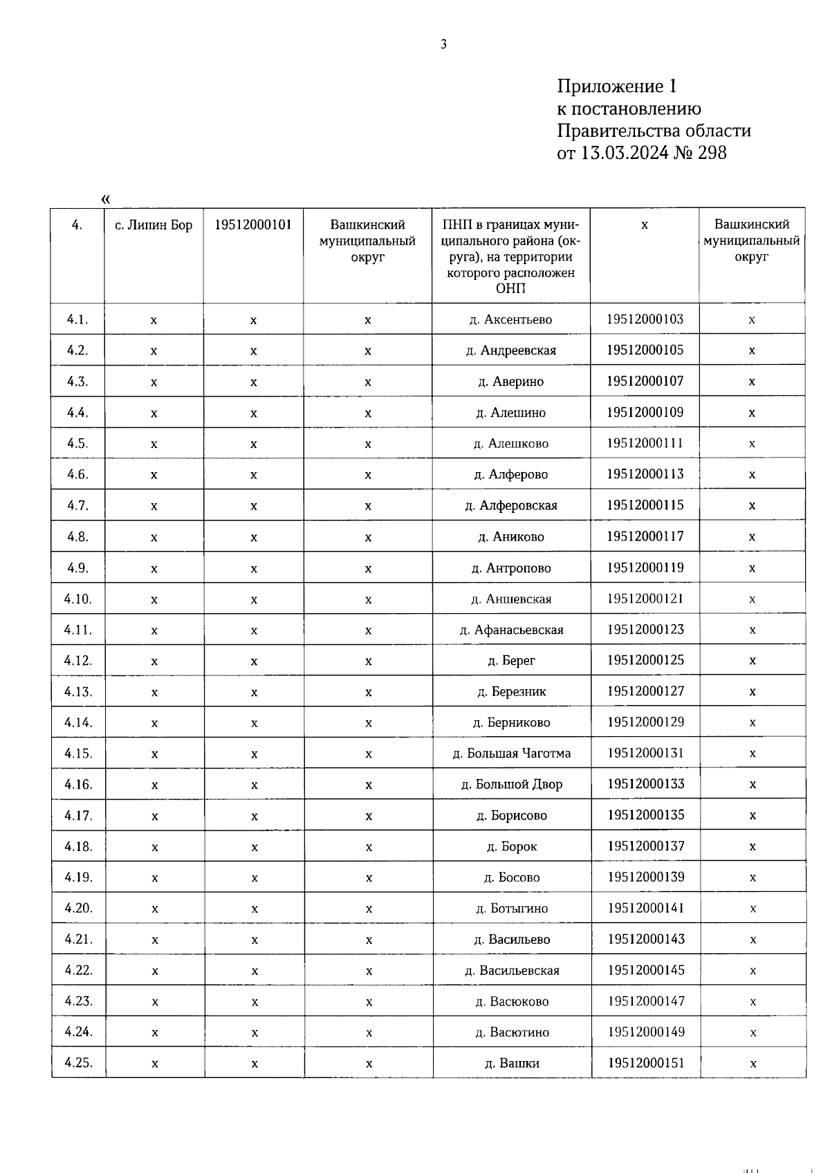
Постановление Правительства Вологодской области от 13.03.2024 № 298
"О внесении изменений в постановление Правительства области от 27 февраля 2023 года № 279"
Номер опубликования: 3500202403140009
Дата опубликования: 14.03.2024
Страница №3 из 30:
Увеличить