Официальное опубликование правовых актов
ОФИЦИАЛЬНОЕ ОПУБЛИКОВАНИЕ
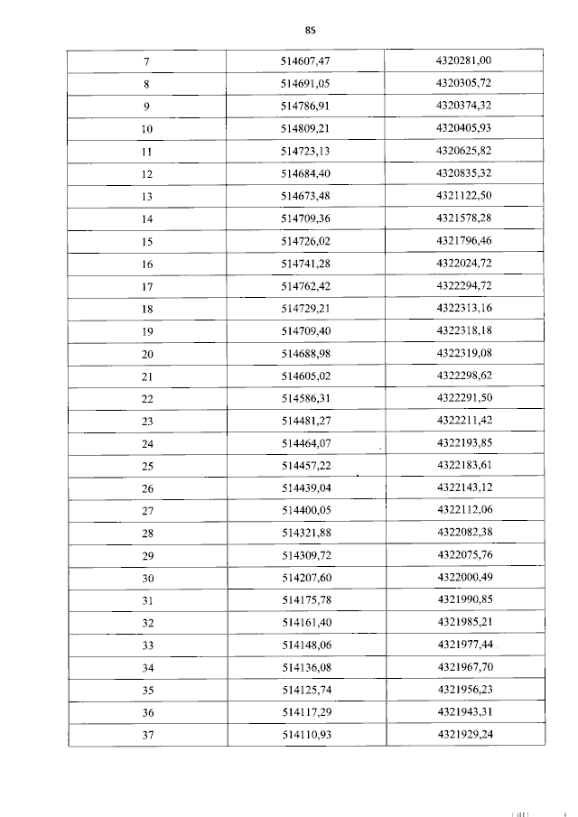
Постановление Губернатора Вологодской области от 29.06.2023 № 168
"Об охранных зонах памятников природы областного значения"
Номер опубликования: 3500202306300001
Дата опубликования: 30.06.2023
Страница №85 из 645:
Увеличить