Официальное опубликование правовых актов
ОФИЦИАЛЬНОЕ ОПУБЛИКОВАНИЕ
Постановление Правительства Вологодской области от 05.06.2023 № 644
"О внесении изменений в постановление Правительства области от 29 июля 2019 года № 713"
Номер опубликования: 3500202306060012
Дата опубликования: 06.06.2023
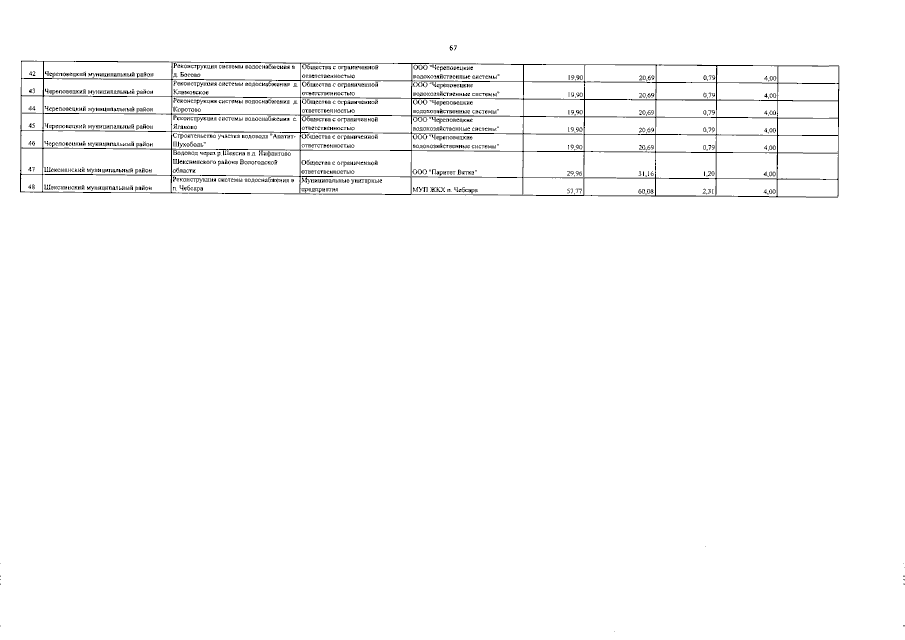
Страница №67 из 67:
Увеличить