Официальное опубликование правовых актов
ОФИЦИАЛЬНОЕ ОПУБЛИКОВАНИЕ
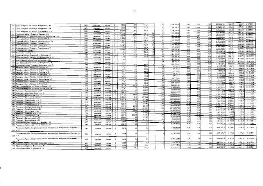
Постановление Правительства Вологодской области от 29.05.2023 № 620
"О внесении изменения в постановление Правительства области от 22 марта 2021 года № 324"
Номер опубликования: 3500202305300023
Дата опубликования: 30.05.2023
Страница №16 из 44:
Увеличить