Официальное опубликование правовых актов
ОФИЦИАЛЬНОЕ ОПУБЛИКОВАНИЕ
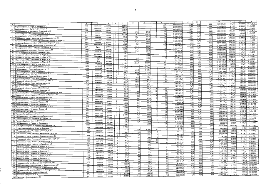
Постановление Правительства Вологодской области от 28.02.2022 № 272
"О внесении изменения в постановление Правительства области от 22 марта 2021 года № 324"
Номер опубликования: 3500202203020028
Дата опубликования: 02.03.2022
Страница №4 из 29:
Увеличить