Официальное опубликование правовых актов
ОФИЦИАЛЬНОЕ ОПУБЛИКОВАНИЕ
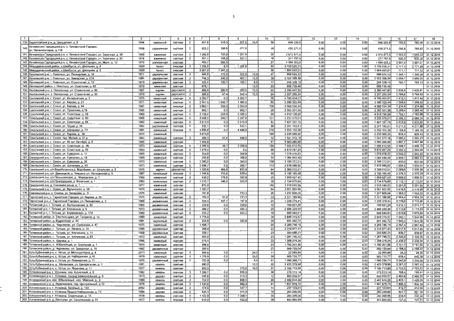
Постановление Правительства Вологодской области от 17.05.2021 № 525 "О внесении изменения в постановление Правительства области от 26 февраля 2018 года № 184"
Номер опубликования: 3500202105200006
Дата опубликования: 20.05.2021
Страница №5 из 74:
Увеличить