Официальное опубликование правовых актов
ОФИЦИАЛЬНОЕ ОПУБЛИКОВАНИЕ
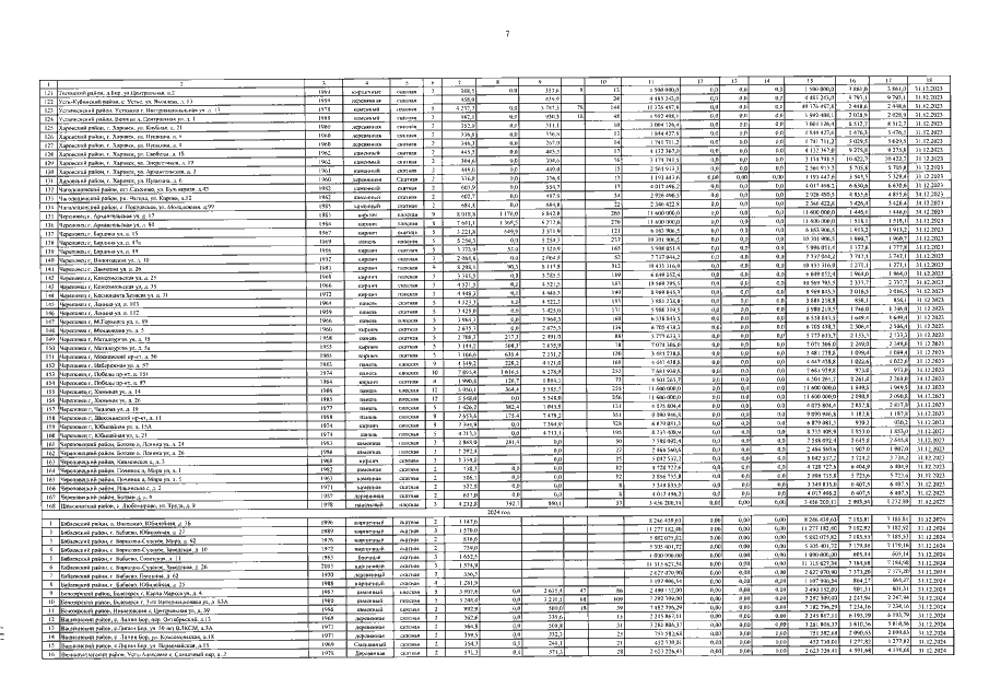
Постановление Правительства Вологодской области от 22.03.2021 №324 "Об утверждении краткосрочного плана реализации Областной программы капитального ремонта общего имущества в многоквартирных домах на территории области на 2022-2024 годы"
Номер опубликования: 3500202103230013
Дата опубликования: 23.03.2021
Страница №7 из 28:
Увеличить