Официальное опубликование правовых актов
ОФИЦИАЛЬНОЕ ОПУБЛИКОВАНИЕ
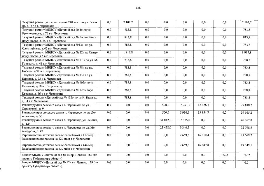
Постановление Правительства Вологодской области от 01.02.2021 № 93 "О внесении изменений в постановление Правительства области от 28 октября 2013 года № 1105"
Номер опубликования: 3500202102040002
Дата опубликования: 04.02.2021
Страница №158 из 175:
Увеличить