Официальное опубликование правовых актов
ОФИЦИАЛЬНОЕ ОПУБЛИКОВАНИЕ
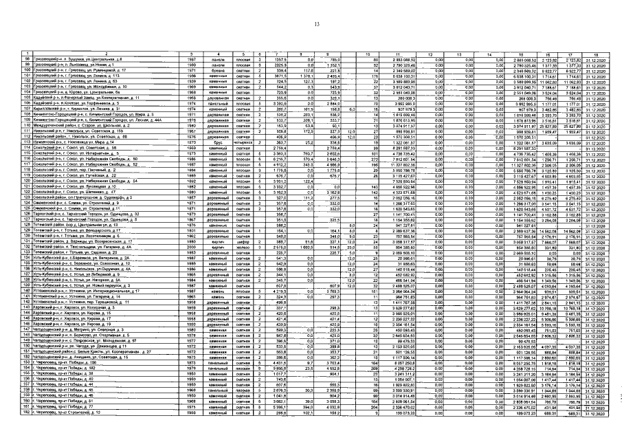
Постановление Правительства Вологодской области от 21.12.2020 №1509 "О внесении изменений в постановление Правительства области
от 26 февраля 2018 года № 184"
Номер опубликования: 3500202012240016
Дата опубликования: 24.12.2020
Страница №13 из 72:
Увеличить