Официальное опубликование правовых актов
ОФИЦИАЛЬНОЕ ОПУБЛИКОВАНИЕ
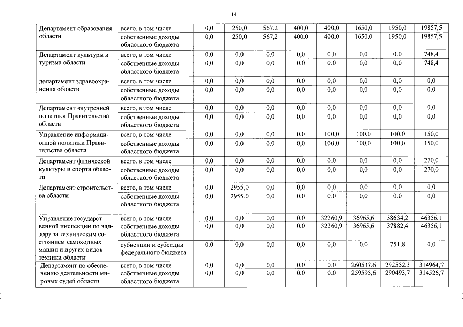
Постановление Правительства Вологодской области от 07.12.2020 №1425 "О внесении изменений в постановление Правительства области от 22 октября 2012 года № 1220"
Номер опубликования: 3500202012080013
Дата опубликования: 08.12.2020
Страница №14 из 57:
Увеличить