Официальное опубликование правовых актов
ОФИЦИАЛЬНОЕ ОПУБЛИКОВАНИЕ
Постановление Губернатора Вологодской области от 10.11.2020 № 257
"О внесении изменений в постановление Губернатора области от 31 мая 2017 года № 158"
Номер опубликования: 3500202011120002
Дата опубликования: 12.11.2020
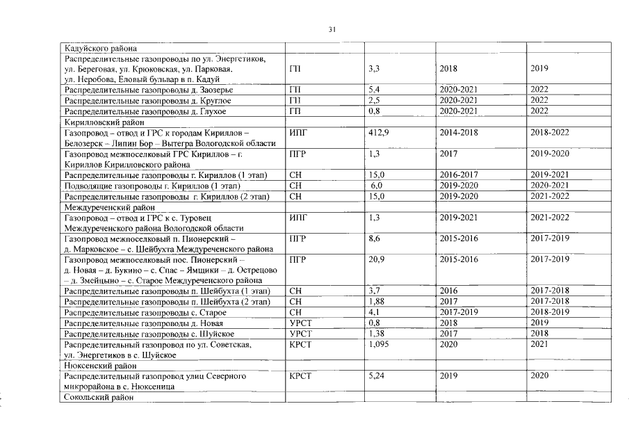
Страница №31 из 81:
Увеличить