Официальное опубликование правовых актов
ОФИЦИАЛЬНОЕ ОПУБЛИКОВАНИЕ
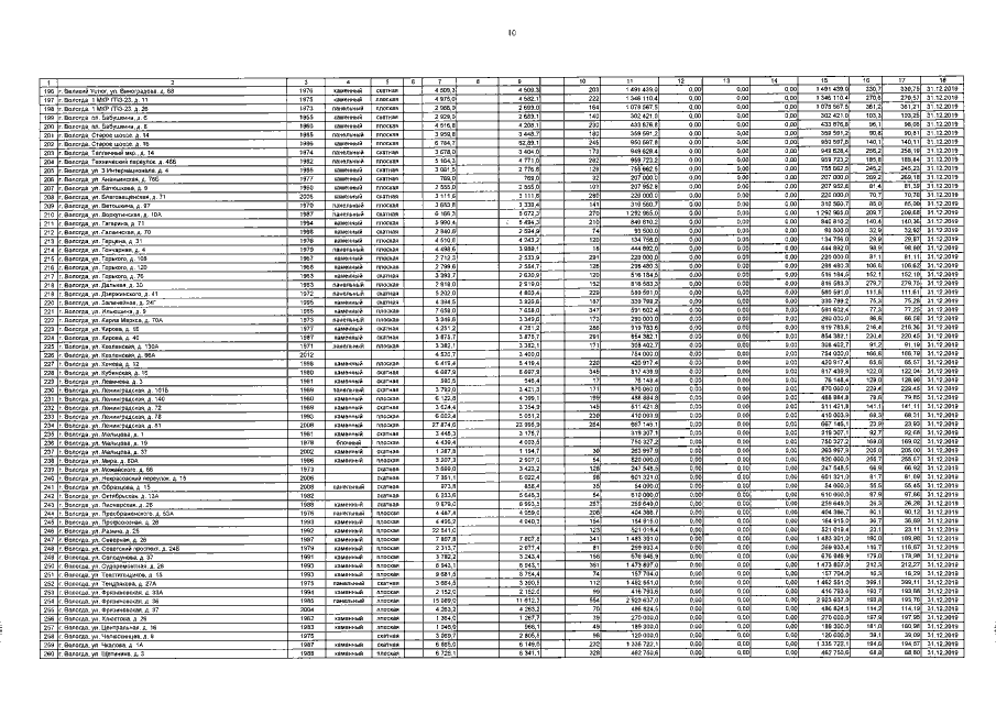
Постановление Правительства Вологодской области от 09.11.2020 №1298 "О внесении изменений в постановление Правительства области
от 26 февраля 2018 года № 184"
Номер опубликования: 3500202011100028
Дата опубликования: 10.11.2020
Страница №10 из 72:
Увеличить