Официальное опубликование правовых актов
ОФИЦИАЛЬНОЕ ОПУБЛИКОВАНИЕ
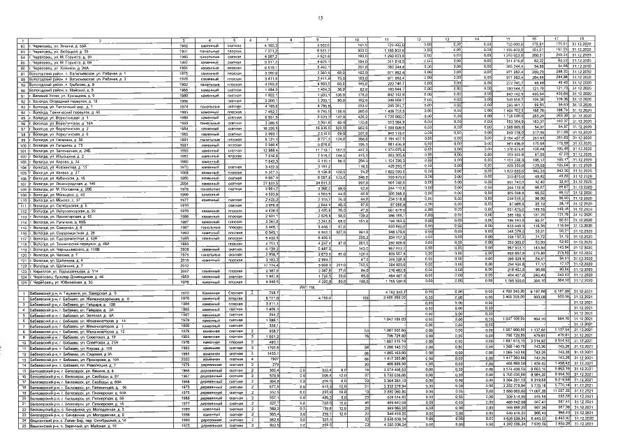
Постановление Правительства Вологодской области от 27.07.2020 №812 "О внесении изменений в постановление Правительства области от 26 февраля 2018 года № 184"
Номер опубликования: 3500202007290038
Дата опубликования: 29.07.2020
Страница №15 из 68: