Официальное опубликование правовых актов
ОФИЦИАЛЬНОЕ ОПУБЛИКОВАНИЕ
Постановление Губернатора Вологодской области от 09.07.2020 № 180
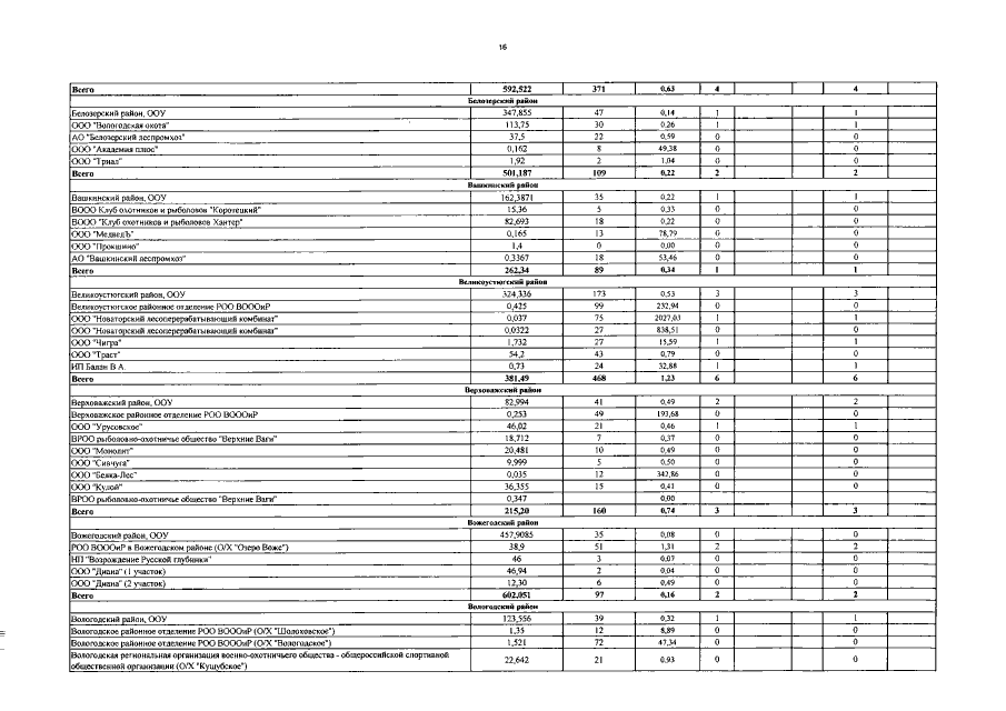
"Об утверждении лимитов и квот добычи медведя бурого, барсука и выдры в сезоне охоты 2020-2021 года на территории Вологодской области, за исключением лимитов и квот добычи охотничьих ресурсов, находящихся на особо охраняемых природных территориях федерального значения"
Номер опубликования: 3500202007100001
Дата опубликования: 10.07.2020
Страница №16 из 19:
Увеличить