Официальное опубликование правовых актов
ОФИЦИАЛЬНОЕ ОПУБЛИКОВАНИЕ
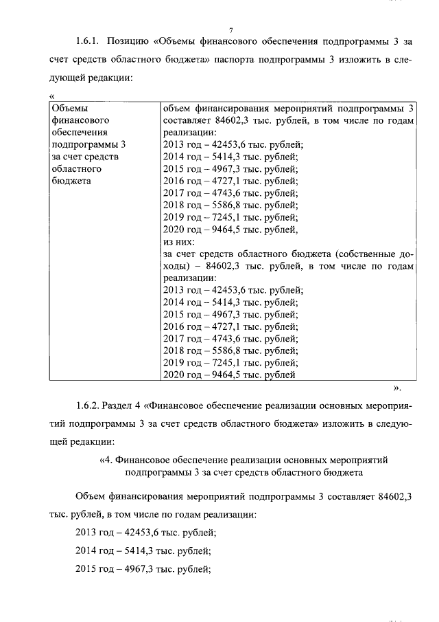
Постановление Правительства Вологодской области от 01.06.2020 №634 "О внесении изменений в постановление Правительства области от 22 октября 2012 года № 1220"
Номер опубликования: 3500202006030010
Дата опубликования: 03.06.2020
Страница №7 из 117:
Увеличить