Официальное опубликование правовых актов
ОФИЦИАЛЬНОЕ ОПУБЛИКОВАНИЕ
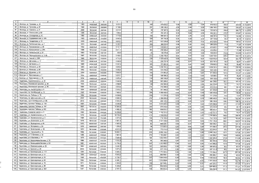
Постановление Правительства Вологодской области от 06.04.2020 №352 "О внесении изменений в постановление Правительства области
от 26 февраля 2018 года № 184"
Номер опубликования: 3500202004070001
Дата опубликования: 07.04.2020
Страница №10 из 74:
Увеличить