Официальное опубликование правовых актов
ОФИЦИАЛЬНОЕ ОПУБЛИКОВАНИЕ
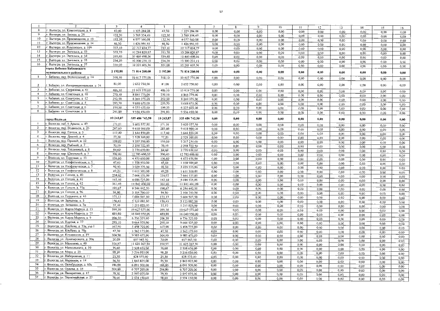
Постановление Правительства Вологодской области от 16.12.2019 № 1212
"О внесении изменений в постановление Правительства области от 29 апреля 2013 года № 484"
Номер опубликования: 3500201912180009
Дата опубликования: 18.12.2019
Страница №57 из 82:
Увеличить