Официальное опубликование правовых актов
ОФИЦИАЛЬНОЕ ОПУБЛИКОВАНИЕ
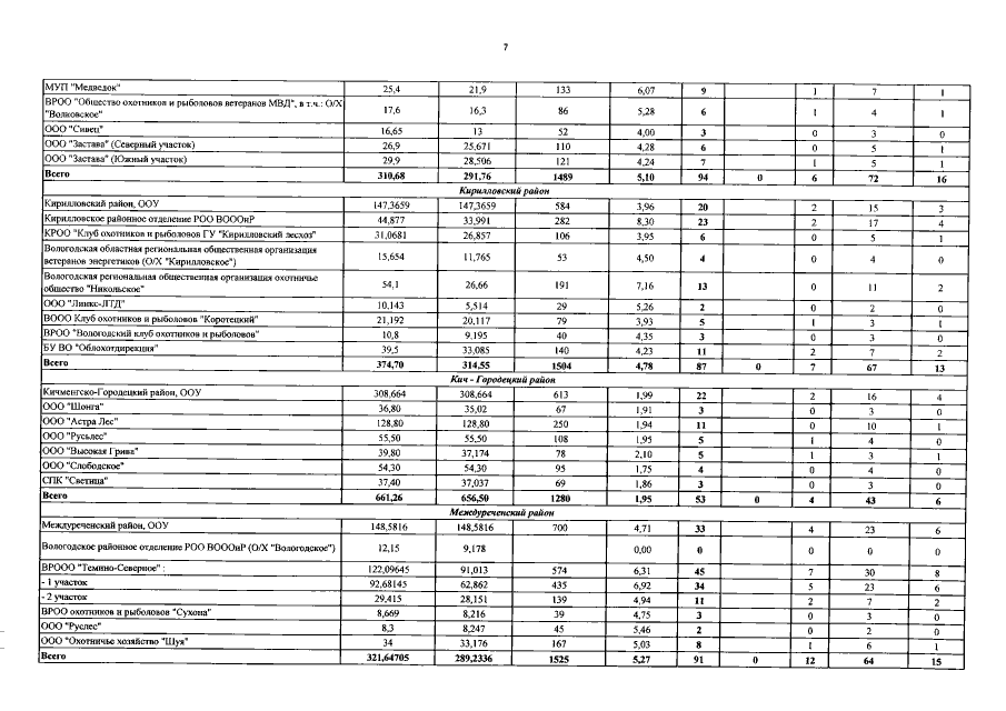
Постановление Губернатора Вологодской области от 17.07.2019 № 150 "Об утверждении лимитов и квот добычи лося и рыси в сезоне охоты 2019-2020 года на территории Вологодской области, за исключением лимитов и квот добычи охотничьих ресурсов, находящихся на особо охраняемых природных территориях федерального значения"
Номер опубликования: 3500201907180003
Дата опубликования: 18.07.2019
Страница №7 из 16:
Увеличить