Официальное опубликование правовых актов
ОФИЦИАЛЬНОЕ ОПУБЛИКОВАНИЕ
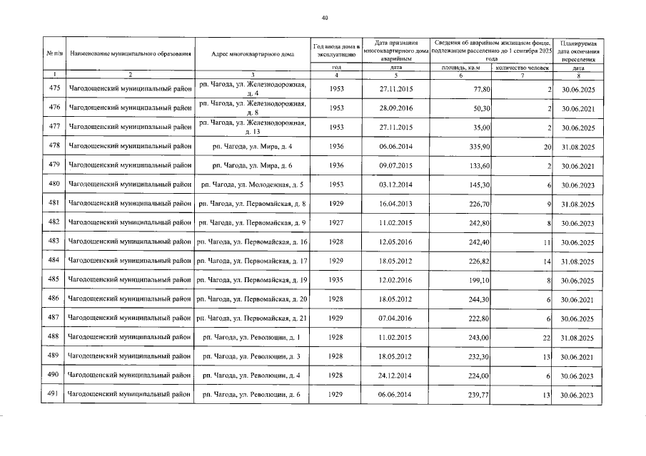
Постановление Правительства Вологодской области от 01.04.2019 № 322
"Об областной адресной программе № 8 "Переселение граждан из аварийного жилищного фонда в муниципальных образованиях Вологодской области на 2019-2025 годы"
Номер опубликования: 3500201904030033
Дата опубликования: 03.04.2019
Страница №40 из 52:
Увеличить