Официальное опубликование правовых актов
ОФИЦИАЛЬНОЕ ОПУБЛИКОВАНИЕ
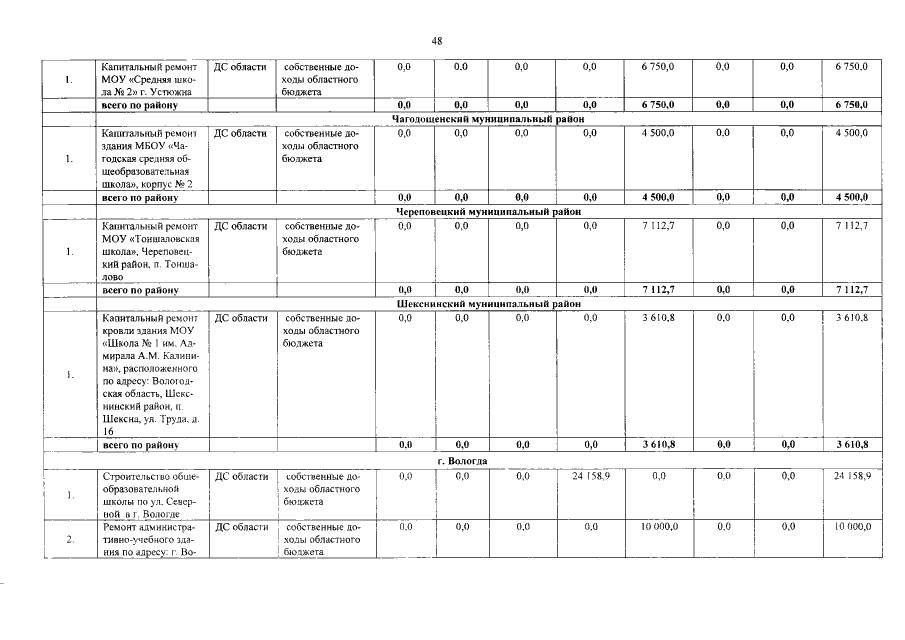
Постановление Правительства Вологодской области от 17.12.2018 № 1138
"О внесении изменений в постановление Правительства области от 28 октября 2013 года № 1105"
Номер опубликования: 3500201812180019
Дата опубликования: 18.12.2018
Страница №48 из 92:
Увеличить