Официальное опубликование правовых актов
ОФИЦИАЛЬНОЕ ОПУБЛИКОВАНИЕ
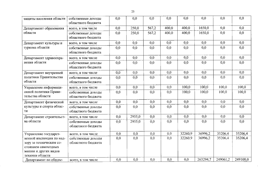
Постановление Правительства Вологодской области от 10.12.2018 № 1101
"О внесении изменений в постановление Правительства области от 22 октября 2012 года № 1220"
Номер опубликования: 3500201812170001
Дата опубликования: 17.12.2018
Страница №25 из 59:
Увеличить