Официальное опубликование правовых актов
ОФИЦИАЛЬНОЕ ОПУБЛИКОВАНИЕ
Постановление Губернатора Вологодской области от 30.11.2018 № 274
"О внесении изменений в постановление Губернатора области от 31 мая 2017 года № 158"
Номер опубликования: 3500201811300003
Дата опубликования: 30.11.2018
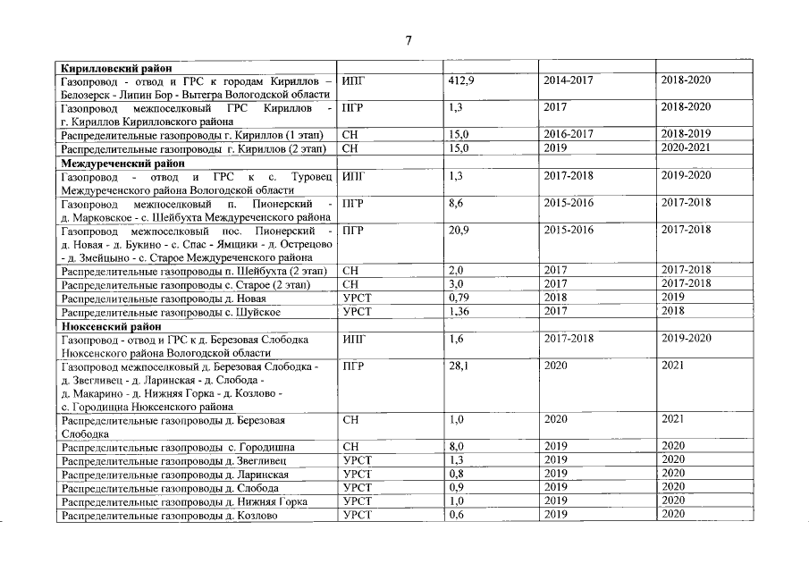
Страница №7 из 11:
Увеличить