Официальное опубликование правовых актов
ОФИЦИАЛЬНОЕ ОПУБЛИКОВАНИЕ
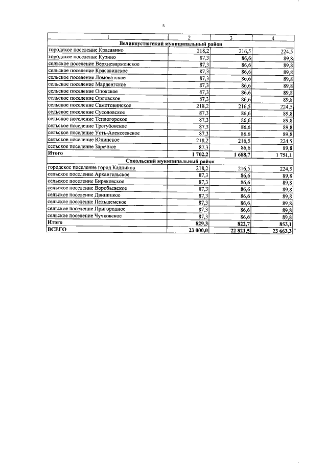
Закон Вологодской области от 25.10.2018 № 4419-ОЗ
"О внесении изменений в закон области "Об областном бюджете на 2018 год и плановый период 2019 и 2020 годов"
Номер опубликования: 3500201811020002
Дата опубликования: 02.11.2018
Страница №357 из 364:
Увеличить