Официальное опубликование правовых актов
ОФИЦИАЛЬНОЕ ОПУБЛИКОВАНИЕ
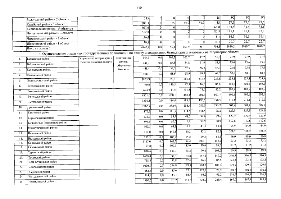
Постановление Правительства Вологодской области от 10.09.2018 № 802
"О внесении изменений в постановление Правительства области от 22 октября 2012 года № 1228"
Номер опубликования: 3500201809120002
Дата опубликования: 12.09.2018
Страница №110 из 116:
Увеличить