Официальное опубликование правовых актов
ОФИЦИАЛЬНОЕ ОПУБЛИКОВАНИЕ
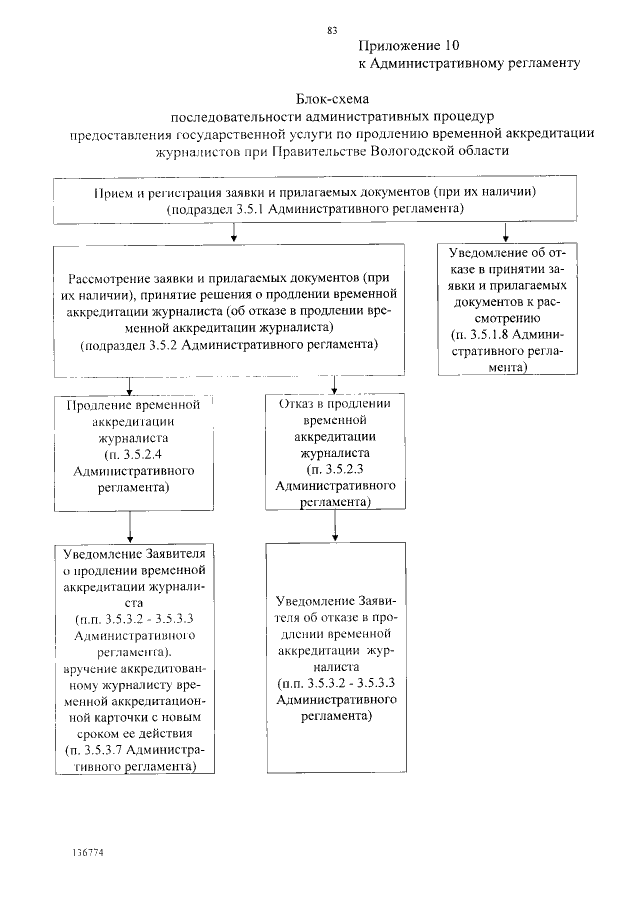
Постановление Правительства Вологодской области от 16.07.2018 № 601
"Об утверждении административного регламента предоставления государственной услуги по аккредитации журналистов при Правительстве Вологодской области"
Номер опубликования: 3500201807170008
Дата опубликования: 17.07.2018
Страница №83 из 87:
Увеличить