Официальное опубликование правовых актов
ОФИЦИАЛЬНОЕ ОПУБЛИКОВАНИЕ
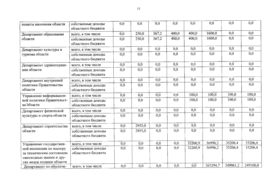
Постановление Правительства Вологодской области от 13.06.2018 № 519
"О внесении изменений в постановление Правительства области от 22 октября 2012 года № 1220"
Номер опубликования: 3500201806150010
Дата опубликования: 15.06.2018
Страница №13 из 34:
Увеличить