Официальное опубликование правовых актов
ОФИЦИАЛЬНОЕ ОПУБЛИКОВАНИЕ
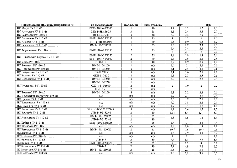
Постановление Губернатора Вологодской области от 26.04.2018 № 97
"Об утверждении Схемы и программы развития электроэнергетики Вологодской области на 2019-2023 годы"
Номер опубликования: 3500201804280002
Дата опубликования: 28.04.2018
Страница №97 из 219:
Увеличить